“感冒时咳出黄痰,就是说明病情快要好了。”
网上有很多人说,感冒咳嗽时,如果从“白痰”变成“黄痰”,就说明是在“排痰”,是感冒快要好了的意思。
流言分析
这种说法没有依据。
咳嗽过程中痰液由清变黄,更多反映的是气道炎症反应和免疫细胞的变化,而不是疾病进入恢复期的明确标志。黄痰的出现,既不能作为病情好转的依据,也不能单独用来判断是否需要治疗或是否已经康复。
在感冒或其他急性呼吸道感染过程中,不少人都有这样的体验:起初只是干咳或咳白痰,过几天痰液逐渐变黄,甚至偏绿,于是便安心下来,觉得这是在排痰,说明快好了。这一判断看似有经验支撑,但从医学角度看,并不成立。
黄痰是怎么形成的?
在病毒性呼吸道感染中,机体免疫系统被激活,黏液分泌增加,同时炎症细胞进入气道,这是咳嗽和咳痰的重要生理基础[1,2]。

参考资料[2]:病毒入侵诱导气道黏液分泌异常。图源:科学辟谣
研究显示,当气道发生炎症反应时,中性粒细胞会大量聚集并释放髓过氧化物酶(MPO),这种物质本身呈黄绿色,是痰液颜色加深的重要原因之一[3]。也就是说,痰液的颜色,主要与其中所含的炎症细胞和相关物质有关,即使病原体尚未完全清除,或症状尚未达到高峰,痰液也可能已经发生颜色变化。
因此,从机制上看,黄痰更多反映的是炎症活动状态,而非恢复进程。
黄痰并不等于病情在好转
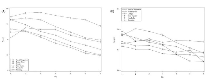
从症状演变的时间规律来看,咳嗽和咳痰本就是感冒的后期症状。一项对社区获得性感冒进行长期观察的研究发现,咳嗽往往在感冒后几天才逐渐明显,并可能持续到第6~7天,甚至更久[4]。这意味着,黄痰出现的时间点,常常与症状自然演变重叠,容易被误认为是好转信号。

参考资料[4]:每天上午9点评估(A)普通感冒症状出现的频率,(B)普通感冒症状的平均严重程度。图源:科学辟谣
但实际上,在不少人身上,咳黄痰出现时,气道炎症正处于较为活跃的阶段,症状仍可能持续一段时间。如果仅凭痰色判断病情,不仅容易误判康复时机,还可能忽视需要休息或对症处理的阶段。
黄痰
也不是用抗生素的标志
另一个常见误解是:黄痰说明已经合并细菌感染,需要使用抗生素。研究确实发现,黄色或绿色痰液与细菌感染之间存在统计学相关性,但这种相关性并不足以作为诊断依据[5]。在急性咳嗽患者中,痰液颜色用于判断细菌感染的特异性较低,单靠颜色并不能区分病毒还是细菌病因,也不足以指导抗生素使用[5]。
这也是为什么反复强调:是否需要抗生素,应综合发热情况、病程长短、全身症状以及必要的检查结果,而不是仅凭痰色做决定。
那感冒什么时候才算快好了?
相比痰液的颜色,更可靠的恢复信号来自整体症状的变化。例如,发热逐渐消退、全身乏力减轻、咽痛和鼻部症状明显缓解,咳嗽频率逐步下降,这些才更符合疾病进入恢复期的表现[1,4]。在这个过程中,咳嗽和少量咳痰可能仍会存在一段时间,这是气道修复和清除分泌物的正常过程。
总结来看,感冒后咳出黄痰,并不意味着快好了,也不等同于细菌感染。它只是气道炎症反应的一个外在表现。与其紧盯痰的颜色,不如关注整体症状的变化和自身感受;如果咳嗽持续时间过长,或伴随高热、胸痛、明显气促等情况,需要及时就医评估。
照“谣”镜
这类谣言的核心是片面解读生理现象、混淆因果关联,用“经验化”的单一结论替代科学的病理逻辑。
它的起点往往是人们的日常观察,谣言抓住了这一碎片化的“体感事实”,忽略个体差异和病理本质,将偶然关联包装成“必然规律”。因为贴合普通人的生活体验,又没有专业的医学术语,接受门槛低,所以传播时阻力小、接受度高,很容易在亲友群、社交平台扩散。
参考文献
[1]KucharE,MiśkiewiczK,Nitsch-OsuchA,etal.Pathophysiologyofclinicalsymptomsinacuteviralrespiratorytractinfections.AdvExpMedBiol.2015;12:25-38.
[2]LiY,TangXX.Abnormalairwaymucussecretioninducedbyvirusinfection.FrontImmunol.2021;12:701443.
[3]StockleyRA,BayleyD,HillSL,etal.Assessmentofairwayneutrophilsbysputumcolour:correlationwithairwaysinflammation.Thorax.2001;56(5):366-372.
[4]WitekTJJr,RamseyDL,CarrAN,etal.Thenaturalhistoryofcommunity-acquiredcommoncoldsymptomsassessedover4years.Rhinology.2015;53(1):81-88.
[5]AltinerA,WilmS,DäubenerW,etal.Sputumcolourfordiagnosisofabacterialinfectioninpatientswithacutecough.ScandJPrimHealthCare.2009;27(2):70-73.
